宇宙線電子の高エネルギースペクトルに、ほ座超新星残骸が大きく寄与
【2023年12月18日 早稲田大学】
天の川銀河内を起源とする「銀河宇宙線」は、超新星爆発に伴う衝撃波で加速され、星間空間の磁場中を拡散的に伝播して地球に飛来すると考えられている。しかし、宇宙線は伝播中に星間磁場で曲げられてしまうため、加速領域の特定が難しく、宇宙線には未だ多くの謎が残されている。
とくに高エネルギーの電子は陽子や原子核と異なり質量が小さく、星間空間を伝播中にエネルギーを失ってしまうため、地球近傍の伝播時間の短い加速源からのものだけしか地球に到達できないが、この条件を満たす加速源の候補天体は数例しかない。
一方で、電子のエネルギーが1TeV(テラ電子ボルト)を超えると、荷電粒子から加速源を同定できるというユニークな可能性が理論的に指摘されている。つまり、TeV領域の電子が観測されれば、それが地球近傍の候補天体の寄与によるものということになる。従来このような観測は難しかったのだが、国際宇宙ステーションの「きぼう」日本実験棟に設置されている宇宙線電子望遠鏡「CALET」によって、これまでにない高精度なエネルギースペクトルの測定が可能になってきた。

CALETの概念図(左)と主検出器のカロリメータ(提供:JAXA/早稲田大学)
早稲田大学の赤池陽水さんたちの研究チームは、CALETを用いた測定により、宇宙空間において初めてTeV領域電子の観測に成功しており、2年間の観測量から4.8TeVまでのエネルギースペクトルの測定に成功するなどの成果を上げてきた。
今回赤池さんたちは、CALETの測定データを精確に再現するようにシミュレーションデータを調整し、電子と陽子の選別精度の向上を計った。その結果、7年以上のデータに対して、電子の選別効率を保ちつつ陽子の混入を10%未満に抑えるという改良に成功し、7.5TeVに至る高エネルギースペクトルが導出された。

CALETによる7.5TeVまでの電子のエネルギースペクトル(赤い四角)(103のところが1TeV)。他の衛星による測定結果も提示(出典:O. Adriani et al. 2023、以下同)
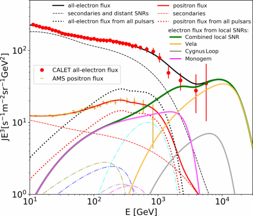
さらに、個々の天体を起源とする宇宙線伝播のシミュレーションから、とくに地球近傍の電子加速源候補である「ほ座超新星残骸」がTeV領域の電子に対して大きく寄与している可能性が示された。

CALETによる全電子のスペクトル(赤丸)と、個々の加速源候補天体の寄与のグラフ。特にほ座超新星残骸(黄色の線、Vela)がTeV領域の電子に大きな影響を与えている
研究チームは今後、到来方向の異方性を合わせて検出することで、近傍加速源の同定を目指す。加速源が同定できれば、そのスペクトル形状から加速・伝播の理解に重要なパラメーターを調べられるようになり、宇宙線の加速・伝播機構の解明が進むと期待される。
〈参照〉
- 早稲田大学:7.5 TeVまでの宇宙線電子のエネルギースペクトル測定に成功:地球近傍の宇宙線加速源の可能性を示唆
- Physical Review Letters:Direct Measurement of the Spectral Structure of Cosmic-Ray Electrons + Positrons in the TeV region with CALET on the International Space Station 論文
〈関連リンク〉
関連記事
- 2026/03/11 パルサー周辺で生まれる超高エネルギーガンマ線をとらえた
- 2025/07/18 超高エネルギー宇宙線の正体は陽子ではなく原子核
- 2025/05/09 特定の宇宙線粒子だけが加速される様子をレーザー実験で再現
- 2025/04/25 恒星ブラックホールが生み出す“加速器”現象をXRISMがとらえた
- 2024/08/05 スパコンで太陽圏外縁環境を再現し、初期の宇宙線生成機構を解明
- 2024/07/31 超新星残骸が宇宙線を生み出す「強い磁場」の証拠を確認
- 2023/11/30 テレスコープアレイ実験史上最大の超高エネルギー宇宙線
- 2023/10/19 宇宙から降り注ぐ宇宙線「空気シャワー」の可視化に成功
- 2023/06/05 太陽活動に伴う宇宙線量の変化にドリフト効果が大きな役割
- 2023/05/12 銀河宇宙線ヘリウムの高精度観測に成功
- 2023/04/07 プラズマの波が宇宙線を効率的に加速する
- 2023/01/06 ほ座パルサー星雲のX線偏光は、かに星雲の2倍以上
- 2022/12/27 CALET、宇宙線のホウ素を高精度でとらえる
- 2022/09/21 CALET、宇宙線陽子スペクトルの高精度観測で軟化を検出
- 2022/04/22 CALET、宇宙線の鉄・ニッケル成分を測定
- 2021/08/30 超新星残骸の陽子起源ガンマ線を分離測定、宇宙線の加速を裏付け
- 2021/07/20 明滅オーロラとともに起こるオゾン破壊
- 2021/03/09 天の川銀河最強の宇宙線源、初めて候補を発見
- 2021/01/21 ISSの装置で宇宙線炭素・酸素のエネルギースペクトルの観測に成功
- 2020/09/11 「あらせ」と「きぼう」の連携で、電子の豪雨の原因解明









![[アストロアーツ かけはしプロジェクト:つなげよう日本 子供達の未来を守るために]](https://www.astroarts.co.jp/official/kakehashi/image/kakehashi_s.jpg)