ショートガンマ線バーストにおけるX線超過成分の時間変動を解明
【2019年11月5日 金沢大学】
はるか遠くにある天体の存在を確認することは、宇宙の成り立ちを解明する上で非常に重要だ。これまでは天体から届くX線やガンマ線といった電磁波の観測がその唯一の方法だったが、近年次々に検出されるようになってきた重力波から得られる情報を活用することで、さらに確度の高い観測が可能になると考えられている。とくにブラックホールや中性子星など高密度天体同士の連星合体は、非常に強い重力波が放射されると同時にショート(短時間)ガンマ線バーストも発生すると考えられていることから、重力波と電磁波の両方で観測する絶好のターゲットとなる。
ガンマ線バーストが発生すると、数秒から数十秒にわたってガンマ線で明るく輝く様子が観測される。その正体は宇宙最大の爆発現象であり、大質量星の崩壊を起源として超新星爆発を伴うロング(長時間)ガンマ線バーストと、中性子星を含むブラックホールなどの高密度星の連星が合体するときに生じるショートガンマ線バーストの2種類に分けられる。
このうちショートガンマ線バーストでは、バースト後に100秒ほど継続する、緩やかな時間変動を伴う比較的低エネルギーのX線超過が見られる。ショートガンマ線バーストに匹敵する総エネルギー量を持つX線超過が観測される例もあることから、重力波との同期観測の有力な候補の一つと考えられている。しかし、その放射メカニズムや発生機構などは未解明だ。

連星中性子星の衝突・合体で重力波とショートガンマ線バースト、X線超過が生じる様子を表したイラスト(提供:金沢大学リリースより、以下同)
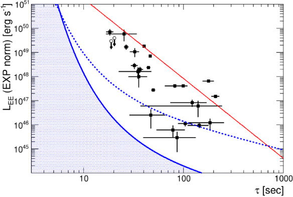
金沢大学の加川保昭さんと米德大輔さんたちの研究チームは、複数のX線超過成分の系統的なデータ解析から、X線超過の時間変動が指数関数的な減光で統一的に記述し得るという統一的な減光モデルを発見した。また、X線の減光率と光度との間に強い負の相関関係が示され、X線超過が暗いほどエネルギーの放射効率が悪いという特徴を持つことも確認した。

X線超過成分の減光率と光度の相関関係。詳細はリリース元参照
さらに、X線の指数関数的な減光から、連星合体後に形成される中心天体や合体の衝撃で周辺にまき散らされる物質の運動に対しての示唆も得られており、こうした成果がガンマ線バーストのエネルギー源などの解明や、ブラックホールが形成される際の強重力環境の理解につながることが期待される。
〈参照〉
関連記事
- 2026/01/13 ブラックホールを生み出す超新星爆発の現場をとらえた
- 2025/11/19 ブラックホール「はくちょう座X-1」のプラズマの形がわかった
- 2025/11/10 中性子星が飲み込むガスと回転スピードの間に見つかった未知の関係性
- 2025/10/21 M84銀河中心から噴き出すジェットは早い段階で細さを失う
- 2025/09/03 重力波イベントの最新カタログ「GWTC」第4版がリリース
- 2025/08/14 ブラックホールX線連星のスペクトル変化をXRISMで観測
- 2025/08/05 史上最も明るいガンマ線バーストをチェレンコフ望遠鏡で検出
- 2025/07/24 最も重いブラックホール合体による重力波の記録を更新
- 2025/07/03 中性子星表面の核融合による特大爆発「スーパーバースト」
- 2025/06/03 超小型衛星「ニンジャサット」、史上6例目の珍しい中性子星を観測
- 2025/05/14 宇宙誕生期を過ぎても大質量ブラックホールは誕生可能
- 2025/04/25 恒星ブラックホールが生み出す“加速器”現象をXRISMがとらえた
- 2025/04/16 ブラックホールからのジェット噴出の条件を解明
- 2024/09/30 ブラックホールの自転による超高光度円盤の歳差運動を世界で初めて実証
- 2024/09/05 ブラックホール周囲の降着円盤の乱流構造を超高解像度シミュレーションで解明
- 2024/08/02 X線偏光でとらえたブラックホール近傍の秒スケール変動
- 2024/07/16 観測データと機械学習の組み合わせでガンマ線バーストの距離測定精度が大幅向上
- 2024/04/22 最も重い恒星質量ブラックホールを発見
- 2024/02/26 中性子星合体によるショートガンマ線バーストの駆動機構を解明
- 2024/02/21 高速電波バーストの謎に迫るマグネターの双子グリッチ











![[アストロアーツ かけはしプロジェクト:つなげよう日本 子供達の未来を守るために]](https://www.astroarts.co.jp/official/kakehashi/image/kakehashi_s.jpg)